In this post, I want to share with you how to calculate partial volume of horizontal vessel with ellipsoidal heads. Basically, the horizontal vessel consists of cylinder and two heads. Thus, the total volume will be:
Where:
K1 = 2 b/D
b, D, and L are function of vessel geometry. Please see figure below.

On the other hand, partial volume is calculated using equation below:
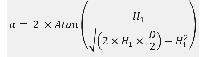
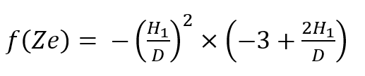
Where:
f(Ze) = ellipsoidal coefficient or
f(Zc) = horizontal cylinder coefficient or
α is in radians
For ellipsoidal head, b = ¼ D, K1 = ½
Free Spreadsheet of Partial Volume of Horizontal Vessel with Ellipsoidal Heads
I made a simple spreadsheet about how to calculate partial volume of horizontal vessels with ellipsoidal head based on above equation. I also checked if the spreadsheet is correct by comparing with online partial volume calculator made by Checalcs. Please feel free to download.

Download spreadsheet How to Calculate Partial Volume of Horizontal Vessel with Ellipsoidal Heads.
I hope you find this simple post useful.
Reference:
- GPSA Engineering Data Book Section 6 Storage


