In this post, I want to share how to design thin-walled vessel under internal pressure. I will also share a simple example about the application in the next post.
For information, I do not have any experience of the calculation in my whole career until posted this post. The design of thin-walled vessel under internal pressure is usually job of mechanical engineer. But it is good for process engineers to understand it in general.
The design of thin-walled vessel under internal pressure, in general, will be divided into two parts: design of cylinder and spherical shells and design of heads and closures.
Cylinders and Spherical Shells
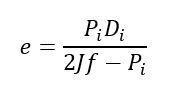
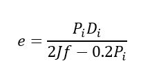
For a cylindrical shell, the minimum thickness required to resist internal pressure can be determined using equation below. The equation is presented in this format in the British Standard PD 5500.
If a welded joint factor is used, then the equation will be:
Where:
e = minimum thickness (mm)
Pi = internal pressure (N/mm2)
Di = internal diameter of vessel (mm)
f = design stress (N/mm2)
J = joint factor
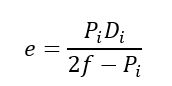
Minimum thickness of a sphere given in BS 5500 is:
If a welded joint factor is used, then the equation will be:
Heads and Closures
The ends of a cylindrical vessel are closed by heads of various shapes. The main types used are:
- Flat plates and formed flat heads
- Hemispherical heads
- Ellipsoidal heads
- Torispherical heads

Domed heads are a general term for hemispherical, elliptical, and torispherical heads. Large diameters are made from formed parts; they are manufactured by pressing or spinning. Dished ends are a common term used to describe torispherical heads.
The standards and guidelines specify the preferred head dimensions.

Selection of Closures
Table below show typical selection of closures.

Manway covers and heat exchanger channel covers are both made of flat plates. “Flange-only” ends, or formed flat ends, are manufactured by turning a flange with a short radius on a flat plate.
The “flange-only” heads are the simplest to manufacture but are only used for low-pressure and small-diameter vessels. The corner radius lessens the sudden change of shape at the junction with the cylindrical section, which somewhat lessens the local stresses.
For vessels up to operating pressures of 15 bar, the most popular end closure is a standard torispherical head (dished ends). Although they can withstand higher pressures, their price should be compared to an equal ellipsoidal head over 10 bar. An ellipsoidal head will typically prove to be the most cost-effective closure to use over 15 bar.
The strongest head shape is hemispherical, which can withstand twice as much pressure as a torispherical head of same thickness. A shallow torispherical head will be less expensive to form than a hemispherical one, nevertheless. High pressures require the installation of hemispherical heads.
Design of Flat Ends
Flat ends are not a structurally efficient design, despite the low fabrication cost, and very thick plates would be needed for high pressures or large diameters.
The thickness needed will vary depend on the degree of constraint at the plate periphery.
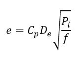
The minimum thickness required is given by:
Where:
Cp = design constant, depend on the edge constraint
De = nominal plate diameter (mm)
f = design stress (N/mm2)
Pi = internal pressure (N/mm2)
Design codes and standards give values for the design constant (Cp) and the nominal plate diameter (De) for various arrangement of flat end closures.
The values of the design constant and nominal diameter for the typical designs are given below:
- Flanged-only end, for diameters less than 0.6 m and corner radii at least equal to 0.25e, Cp can be taken as 0.45; De is equal to Di (figure a)
- Plates welded to the end of the shell with a fillet weld, angle of fillet 45o and depth equal to the plate thickness, take Cp as 0.55 and De = Di (figure b and c)
- Bolted cover with a full face gasket, take Cp = 0.4 and De equal to the bolt circle diameter (figure d)
- Bolted end cover with a narrow-face gasket, take Cp = 0.55 and De equal to the mean diameter of the gasket (figure e)
Design of Dome Ends
Flat ends are not a structurally efficient design, despite the low fabrication cost, and very thick plates would be needed for high pressures or large diameters.
The rules and standards provide design equations and charts for the various types of domed heads, which should be used for detailed design. Both pierced and unpierced heads are covered by the codes and standards. Heads with connections or openings are referred to as pierced. To counteract the weakening impact of the holes where the opening or branch is not locally reinforced, the head thickness must be increased.
This post provides simplified equation for your convenience. These are suited for unpierced heads as well as heads with fully compensated openings or branches for preliminary sizing.
Hemispherical Heads
The thickness of the head of a vessel just needs to be half that of the cylinder for there to be equal stress in both the cylindrical portion and the hemispherical head. The head and cylinder junction would then experience discontinuity stresses due to the two sections’ different rates of dilatation. It can be demonstrated that the ratio of the hemispherical head thickness to cylinder thickness for steels (Poisson’s ratio = 0.3) should be 7/17 for no difference in dilation between the two portions (equal diametrical strain). The stress would consequently be higher in the head than in the cylindrical section, and the ideal thickness ratio is typically 0.6.
Ellipsoidal Heads
A 2:1 major to minor axis ratio is used in the manufacturing of the majority of common ellipsoidal heads. The minimal thickness necessary for this ratio can be determined using the equation below:
Torispherical Heads
A torispherical end closure has two junctions: one at the cylindrical section and the head and the other between the intersection of the crown and knuckle radii. The design of the heads must take into account the bending and shear forces brought on by the differential dilation that will happen at these locations. The knuckle and crown radii affect the stress concentration factor.
Where:
Cs = stress concentration factor for torispherical heads = 
Rc = crown radius
Rk = knuckle radius
To prevent buckling, the knuckle to crown radii ratio should not be less than 0.06, and the crown radius should not be more than the diameter of cylindrical section. For formed heads (heads without joints), the joint factor J is assumed to be 1.0.
Reference:
- Coulson and Richardson’s Chemical Engineering Volume 6






