In this post, I want to share a simple example on how to design thin-walled vessel under internal pressure. Please check my previous post about the method on how to estimate minimum thickness of vessel component (shell, flat end closures, domed head closures).
Example
Estimate the thickness required for the component parts of the vessel shown in the diagram.
The vessel is to operate at a pressure of 16 bar (absolute) and design temperature of 300oC. The material of construction will be plain carbon steel. Welds will be fully radiographed. A corrosion allowance of 2 mm should be used.
Solution
Design pressure, take as 10% above operating pressure = (16 – 1) × (1 + 10%) = 16.5 barg = 1.65 N/mm2
Design temperature = 300oC
From table below, typical design stress is 85 N/mm2.
Minimum thickness of cylindrical section
Minimum thickness of cylindrical section is calculated below.
Where:
e = minimum thickness (mm)
Pi = internal pressure (N/mm2)
Di = internal diameter of vessel (mm)
f = design stress (N/mm2)
Calculation of minimum thickness of cylindrical section:
e = 1.65 × 1800 / (2 × 85 – 1.65) = 17.64 mm
Add corrosion allowance = 17.64 + 2 = 19.64 mm
Domed head
1. Try a standard dished head (torisphere):
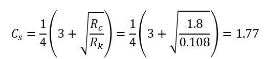
Crown radius Rc = Di = 1.8 m
Knuckle radius is 6% of Rc to prevent buckling = 0.108 m
A head of this size would be formed by pressing: no joints, so J = 1, then concentration factor (Cs) is
Minimum thickness for dished head (torisphere) is calculated using equation below:
Where:
Cs = stress concentration factor for torispherical heads
Rc = crown radius
Rk = knuckle radius
For formed heads (heads without joints), the joint factor J is assumed to be 1.0.
Then, minimum thickness for dished head is:
e = (1.65 × 1800 × 1.77) / [2 × 85 × 1 + 1.65 × (1.77 – 0.2)] = 30.47 mm
2. For standard ellipsoidal head, ratio major:minor axes = 2:1
The minimal thickness necessary for this ratio can be determined using the equation below:
Then, minimum thickness is:
e = (1.65 × 1800) / (2 × 1 × 85 – 0.2 × 1.65) = 17.50 mm
So, an ellipsoidal head would be probably the most economical.
Flat head
For bolted cover with a full face gasket, take design constant Cp = 0.4
Take nominal plate diameter, De = 2 m
The minimum thickness of flat head is calculated using equation below:
Therefore, minimum thickness is:
e = (0.4 × 2000 × (1.65/85)0.5 = 111 mm
This shows inefficiency of flat cover. The required thickness will be large.
Free Spreadsheet
Want to learn the calculation? Feel free to download the spreadsheet of the example above.
That’s all the example on how to design thin-walled vessel under internal pressure. I hope you find this post useful.




